
Jakość izolacji przegród charakteryzuje się najczęściej współczynnikiem przenikania ciepła U, który wyraża ile energii [Wat] przenika przez 1 m2 przegrody, gdy różnica temperatur z obu jej stron wynosi 1 stopień [Kelvin]. Im niższa wartość U tym mniejsze straty energii. Zgodnie z obowiązującymi warunkami technicznymi WT2021 przegroda na gruncie nie może mieć wyższego współczynnika przenikania ciepła niż U=0,3 W/m2K, tymczasem dla ściany zewnętrznej współczynnik ten nie może przekroczyć U=0,2 W/m2K. Mówiąc wprost ściana musi być lepiej izolowana niż płyta fundamentowa, a dzieje się tak dlatego, że za ścianą zewnętrzną panują temperatury mocno ujemne w zimie, natomiast pod płytą fundamentową (w odległości około 0,7 m od brzegu płyty wg modelu Henrikssona) panuje stała temperatura przez cały rok około 8 st C.
W związku z powyższym przyjmuje się z dużym uproszczeniem, że straty ciepła w typowym budynku przez grunt to 10%, ściany zewnętrzne 20-25% a przez dach aż 30%.
W tym miejscu powinna się nasunąć prosta konkluzja – nie ma sensu stosować przewymiarowanej izolacji w przegrodzie na gruncie bowiem znacznie korzystnie jest zainwestować w lepszą izolację na ścianie czy dachu.
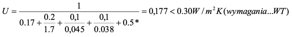
Najbardziej rekomendowany przez nas sposób izolowania płyty fundamentowej to 10 cm styropianu EPS (zwykle współczynnik lambda 0,038 W/mK) na płycie jako typowa warstwa jastrychu pod ogrzewanie podłogowe oraz 10 cm polistyrenu ekstrudowanego XPS (zwykle współczynnik lambda 0,045 W/mK) pod całą płytą fundamentową.
Współczynnik przenikania ciepła U dla płyty o grubości betonu 20 cm kształtuje się wtedy następująco:

*Wartość RU=0.5 (dla I strefy – szerokość 1m wzdłuż ścian zewnętrznych)
Jak widać wartość 0,177 W/m2K spełnia warunki techniczne z ponad 40% zapasem więc w myśl optymalnego doboru izolacji można ją zredukować, jednak rekomendowane grubości izolacji wynikają z aspektów wykonawczych. W 10 cm izolacji na płycie dobrze mocuje się spinki do rur do ogrzewania podłogowego oraz można łatwo przykryć rury kanalizacyjne. Co do 10 cm izolacji XPS to główną zaletą jest minimalizowanie mostków termicznych na połączeniu płyt XPS bowiem układamy je w dwóch warstwach po 5 cm z przesunięciem zakładkowo.
Warto zwrócić uwagę, że całkowity brak izolacji XPS pod płytą również pozwoli spełnić warunki techniczne bowiem obliczając współczynnik U=0,29 W/m2K widzimy, że jest niższy od wymaganego, jednak pojawia się wtedy kwestia mostka termicznego na połączeniu ściany i płyty. Brak XPS pod płytą spowoduje znaczne wychłodzenie płyty krawędziowo gdzie temperatura gruntu zależy od temperatury powietrza i może wynosić 2-3 st C. Mówiąc kolokwialnie ciepło z ściany ucieka wtedy do płyty fundamentowej i do gruntu co jest oczywiście niekorzystne. W przypadku ściany w konstrukcji drewnianej wypełnionej welną mostek ciepła jest znacznie mniejszy dlatego dopuszcza się wtedy wykonanie płyty bez poziomej izolacji.
Trafiają do nas zapytania o koszt wykonania płyty z 20 cm izolacji XPS od spodu. Współczynnik U wyniesie wtedy 0,12 W/m2K czyli z 60% zapasem do warunków technicznych. Koszt dodatkowych 10 cm XPS dla płyty o powierzchni 100 m2 to 4300 zł (luty 2023). Opierając się o logikę lepiej te pieniądze zainwestować w izolację tam gdzie straty są większe czyli np. w izolację dachu.
Reasumując izolacja płyty fundamentowej powinna być dobrana rozsądnie w oparciu o obliczenia, warunki techniczne i znajomość dobrych praktyk budowlanych. Wypadkową tych czynników jest płyta fundamentowa zaizolowana 10 cm EPS z góry i 10 cm XPS od spodu do czego Państwa zachęcamy.



